中小学秋季开学最新通知,新学年启程,新征程启航
中小学秋季开学通知发布,新学年即将启航。学生们将迎来全新的学习征程,为未来的成长打下坚实的基础。新学期,新气象,学生们将接受更多知识的熏陶,为实现自己的梦想努力奋斗。这是新的挑战,也是新的机遇。期待学生们在新的学年里...
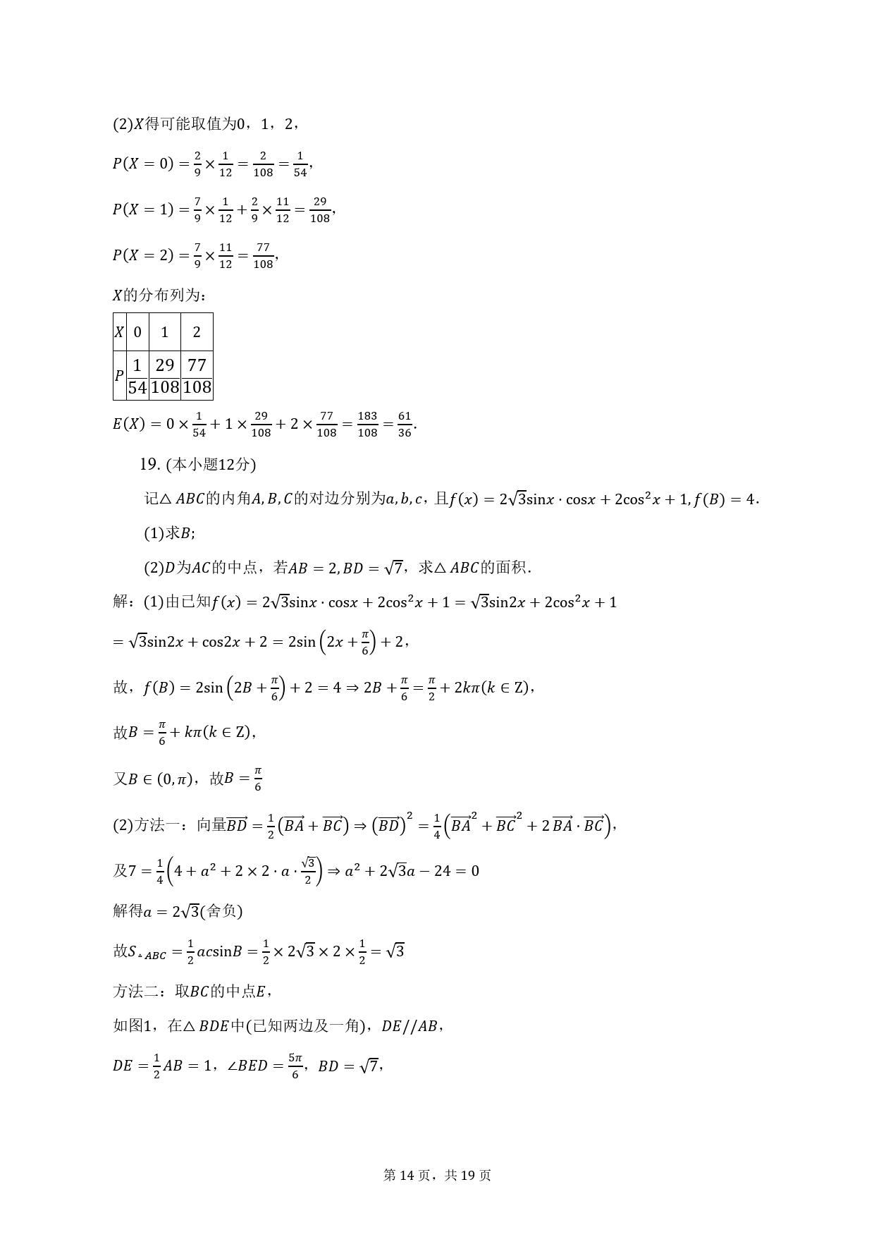
高三数学最新联考卷,挑战与机遇的挑战之路
摘要:高三数学最新联考卷是一份重要的考试资源,既带来了挑战也孕育着机遇。这份试卷旨在检验学生的数学知识和应用能力,挑战在于试题难度较高,需要学生充分掌握数学基础知识与技能。这也是一个机遇,通过应对挑战,学生可以提升自...
抗美援朝英雄时代再现荧屏辉煌,最新影视剧引领时代风潮
最新抗美援朝影视剧再现英雄时代的辉煌,通过生动的画面和紧张的剧情,展现了志愿军战士的英勇无畏和顽强拼搏的精神风貌。影片深入挖掘了战争背后的感人故事,向观众展现了那个时代的英雄形象,以及他们所面临的艰难选择和考验。这部...
长月烬明最新预告37,期待与激情的交汇时刻
长月烬明最新预告第37集,令人期待与激情交织。预告中,紧张刺激的剧情发展,扣人心弦,引发观众无限遐想。角色间的冲突与纠葛,情感交织,令人期待接下来的精彩发展。预告中的视觉特效和音效也让人热血沸腾,为即将到来的剧情高潮...
拜登最新消息发布,内外政策重塑新动态
拜登最新发布消息,旨在重塑美国内外政策的新动态。新政策将强调合作与协调,重视国内和国际事务的平衡发展。对外政策方面,将寻求与其他国家的合作,以应对全球性挑战;对内政策方面,将注重提高人民生活水平,促进经济增长和就业。...
最新暴雨预警,未来24小时暴雨天气预报报告
摘要:根据最新天气预报,未来24小时内将出现暴雨天气。请广大市民做好防范准备,注意出行安全,避免受到暴雨的影响。此次暴雨天气可能会带来局部洪涝、道路积水等风险,建议市民尽量减少外出,确保人身安全。请关注气象部门发布的...
哈登最新交易协议的深度剖析
摘要:,,哈登的交易协议引起广泛关注。该交易涉及多方面的考量,包括球员个人意愿、球队战术需求以及市场因素等。本文深度解析了这一交易协议的细节,探讨了哈登未来的发展前景以及可能面临的挑战。本文也关注了交易对球队整体实力...
三亚最新近况,热带滨海旅游胜地蓬勃发展
摘要:三亚作为热带滨海旅游胜地,正经历蓬勃发展。近年来,三亚的旅游产业不断壮大,吸引了大量国内外游客前来观光度假。三亚的基础设施建设也在不断完善,为游客提供更好的旅游体验。三亚的未来发展前景广阔,将继续发挥其在国内外...
夸客最新动态,引领金融科技潮流,重塑行业格局
夸客发布最新消息,正引领金融科技潮流,积极重塑行业格局。凭借创新的技术手段和卓越的服务能力,夸客在金融科技领域取得显著进展,不断推动行业发展。其前沿的技术和强大的实力,使其处于行业领先地位,对未来金融科技的走向产生深...
安倍晋三最新信息全面解读
安倍晋三最新信息深度解析:安倍晋三作为日本前首相,其最新动态备受关注。近期安倍晋三的一系列言论和行为引发了广泛讨论和关注。本文将从多个角度深入解析安倍晋三的最新信息,探讨其背后的意图和影响。安倍晋三的政治立场、外交政...











沪公网安备22000000000001号
沪ICP备22000001号