南宁市新型肺炎最新动态更新
南宁市新型肺炎最新动态显示,疫情防控形势依然严峻。政府已采取多项措施加强防控,包括加强社区管理、加强宣传教育和提高医疗救治能力。市民也积极响应号召,遵守防疫措施,减少出行和聚集,共同抗击疫情。目前,南宁市疫情防控工作...
河北唐山交通迈向现代化新征程的最新动态
河北唐山交通迎来最新消息,正迈向现代化交通的新征程。该市在交通建设方面取得显著进展,不断提升交通基础设施和运输服务水平,为现代化城市交通发展注入新动力。唐山的交通事业正在经历一场深刻的变革,以更加高效、便捷、安全的交...
和平精英最新地图全面解析
和平精英最新地图解析:游戏新增多张地图,各具特色。包括城市废墟、热带雨林等多样化场景,提供丰富战斗体验。新地图设计细致入微,考虑玩家战术策略与团队协作,提升游戏竞技性。玩家可探索新地图中的每一个角落,感受不同环境下的...
全球共同应对国际疫情挑战的最新动态
摘要:全球疫情形势依然严峻,各国共同应对挑战。国际疫情发展呈现多样化趋势,需密切关注病毒变异和传播情况。全球各地采取多项措施加强防控,国际合作日益加强,共同应对疫情挑战。需要各国共同努力,加强信息共享、协调行动,共同...
刘凤海最新动态,未来无限可能揭秘
刘凤海最新消息揭示未来无限可能。具体消息尚待进一步披露,但预示着新的机遇与挑战。刘凤海以其独特的视角和创新能力,不断开拓新的领域,引领时代潮流。他将为我们带来更多的惊喜和可能性,让我们共同期待他的更多成就。摘要字数在...
心脑血管疾病最新概况概述
摘要:心脑血管疾病是当前全球范围内严重的公共卫生问题之一。最新现状显示,该疾病的发病率和死亡率持续上升,成为威胁人类健康的主要疾病之一。随着人口老龄化、生活方式改变和饮食结构调整等因素的影响,心脑血管疾病的预防和治疗...
钛铌最新消息,引领行业变革的关键力量,钛铌最新动态,引领行业变革的先锋力量
钛铌发布最新消息,成为引领行业变革的关键力量。详情待进一步揭晓,预计将带来重大创新和突破,对行业产生深远影响。关注者翘首以待,期待其带来更多惊喜和启示。...
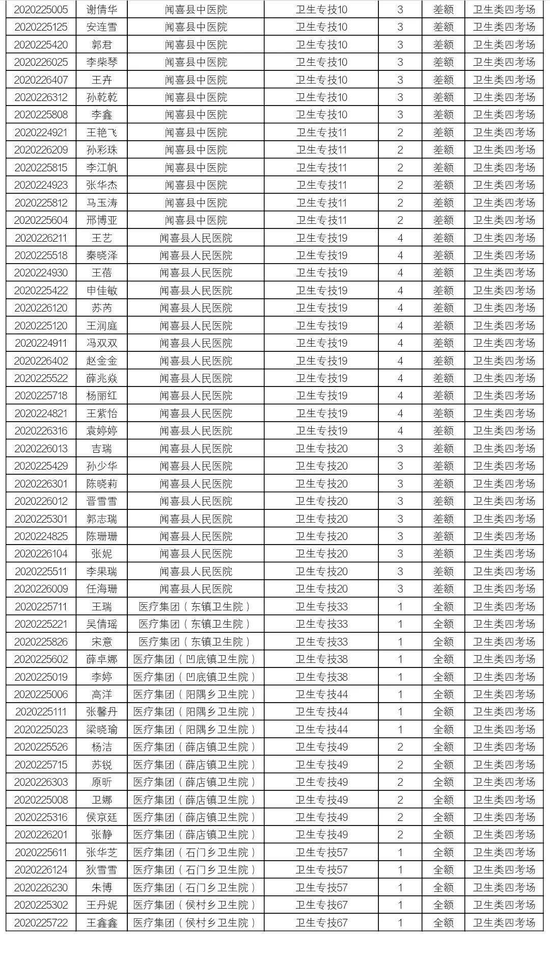
闻喜县发展和改革局最新招聘信息
闻喜县发展和改革局发布最新招聘信息,诚邀有志之士加入我们的团队。我们正在招聘具备相关专业背景和技能的人才,以推动我县的经济社会发展。我们寻求有责任心、团队合作精神和良好沟通能力的人才,共同为实现县域发展目标贡献力量。...
开封市市公安局最新新闻
开封市公安局发布最新消息,近期该局在打击各类违法犯罪活动中取得了显著成效。警方通过精准打击,成功破获多起重大案件,有效维护了社会治安秩序。该局还积极推行便民服务措施,加强警务合作,不断提升警务工作效能和服务水平。开封...











沪公网安备22000000000001号
沪ICP备22000001号